One Month ESTR Index Futures37650328
ICE Futures Europe
One Month ESTR Index Futures
Description
Cash settled future based on a Euro Short Term Rate (“ESTR”) as calculated by the Benchmark Administrator.
Market Specifications
- Trading Screen Product Name
- One Month ESTR Index Rate
- Trading Screen Hub Name
- ICEU
- Overnight Rate
- ESTR
- Contract Symbol
- EON
- Unit of Trading
- €2,500 * Rate Index
- Delivery Date
- Two business days after the Last Trading Day
- Delivery Month
- A maximum of twenty four consecutive delivery months will be available for trading
- Quotation
- 100.00 minus the numerical value of the rate of interest
- Minimum Price Fluctuation
- Front delivery month: 0.0025 (€6.25)
All other delivery months: 0.005 (€12.50) - Last Trading Day
- The last business day of the calendar month.
- Exchange Delivery Settlement Price
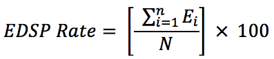
- Will be published as soon as reasonably practical after 08:00 hours (London time) on the next business day after the Last Trading Day. EDSP Rate shall be the arithmetic average of the daily ESTR for the delivery month:
where:
Ei = the ith ESTR of the Accrual Period, expressed in such a way that for a rate of 1% per annum,
Ei=0.01.
N = the total number of calendar days in the Accrual Period; and for calendar days on which the ESTR is not computed (e.g., Saturdays, Sundays and bank holidays) the rate shall be the rate determined on the most recent business day for which a rate was determined.
Where the EDSP Rate is not an exact multiple of 0.0001, it will be rounded to the nearest 0.0001, or where the EDSP Rate is an exact uneven multiple of 0.00005, to the nearest lower 0.0001 The EDSP shall be determined as 100 minus the EDSP Rate, rounded as described above - Algorithm
- Central order book applies a gradual time based pro-rata (GTBPR) matching algorithm with a time-weighting of 2 and with priority given to the first order at the best price subject to a minimum order size (collar) and limited to a maximum order size (cap).
- Wholesale Trade Types
- Block Trading, Basis Trading, Asset Allocation
Minimum Volume Thresholds can be found here - First Accrual Date
- The first calendar day of the Delivery Month
- Last Accrual Date
- The last calendar day of the Delivery Month
- Contract Standard
- Cash settlement based on the Exchange Delivery Settlement Price.
- Additional Information
- The Exchange Delivery Settlement Price (“EDSP”) of the One Month ESTR Index Futures Contract is calculated on the basis of the relevant ESTR rates as described in the relevant Contract Rule. Potential users of the One Month ESTR Index Futures Contract made available on ICE Futures Europe should familiarise themselves with the relevant Contract Rules of the One Month ESTR Index Futures Contract. Potential users should note that, whilst the relevant ESTR rates are publicly available, the detailed calculation procedures in relation to those rates are not published. Potential users should be aware that ESTR to be used in the calculation of a final EDSP will be amended only where the Benchmark Administrator indicates to the Exchange that there is an error before the Exchange publishes that final EDSP. In that event, and subject to the relevant Contract Rules of the One Month ESTR Index Futures Contract, the requisite corrections to all relevant ESTR rates will be made in order to calculate such final EDSP. The contracts have a standardised Rate Index point value so that, for hedging purposes, a calculation will need to be made in relation to the hedge ratio to take into account any mismatch between the Rate Index exposure and the actual basis point value of the position being hedged, determined by the actual number of days in the accrual period.”
NOTE: All times are London, unless otherwise stated - MIC Code
- IFLL
- Clearing Venues
- ICEU
Related Products
Trading Hours
| City | Trading | Pre-Open |
|---|---|---|
| NEW YORK | 2:00 AM - 1:00 PM 02:00 - 13:00 | 1:03 AM 01:03 |
| LONDON | 7:00 AM - 6:00 PM 07:00 - 18:00 | 6:03 AM 06:03 |
| SINGAPORE | 2:00 PM - 1:00 AM* 14:00 - 01:00 | 1:03 PM 13:03 |
Codes
- Clearing Admin Name
- STIR ESTR
- Physical
- EON
- Logical
- EON
- GMI (FC)
- ION A.C.N.
- Symbol Code
- EON